Neka igre počnu

50

Kategorija: Jednačine


Autor: Nađa

Zadatak: Trećina jednog broja manja je za 5 od njegove polovine. Koji je to broj?

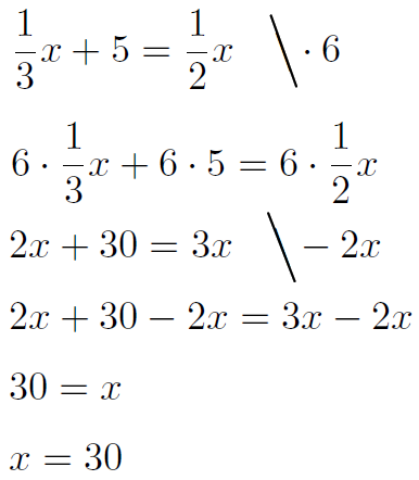
Postupak: Čitamo pažljivo zadatak i postavljamo jednačinu

Trećina jednog broja, to možemo da zapišemo kao ⅓x.

Dalje kaže, manja je za 5, što znači da trećini broja dodajemo 5 tj. ⅓x+5.

I ostao nam je još poslednji uslov, da je ovaj izraz jednak polovini broja, odnosno ⅓x+5=½x.

Zadatak se sveo na jednačinu sa jednom nepoznatom, koje smo ranije obradili i utvrdili.

jednacina

Ostalo je samo da pošaljemo rešenje. Vidimo da u polju za predaju zadatka, odgovor trebamo da napišemo obliku zmajCTF{odgovor}. Dakle rešenje koje trebamo da pošaljemo je zmajCTF{x=30}